Unaging
  • Unaging Challenge
  • Blog
    • Podcasts
    • Diet
    • Exercise
    • Healthy Habits
    • Science
    • Aging
    • Unaging Challenge
    • Reviews
    • Videos
  • Determine Your True Age
  • About Me
  • Contact
Unaging
  • Unaging Challenge
  • Blog
    • Podcasts
    • Diet
    • Exercise
    • Healthy Habits
    • Science
    • Aging
    • Unaging Challenge
    • Reviews
    • Videos
  • Determine Your True Age
  • About Me
  • Contact
Cyclists in a sprint interval training race

Exercise
Sprint Interval Training & Workout: Burn Fat in 30 Seconds And Boost Heart Health

Last updated: April 9, 2026

In This Article

  1. Four Benefits from Sprint Interval Training
  2. Sprint Interval Training vs. HIIT
  3. How to do Sprint Interval Training
Crissman LoomisCrissman LoomisJuly 22, 2025
Cyclists in a sprint interval training race

Beyond High-intensity Interval Training (HIIT) comes Sprint Interval Training (SIT). While HIIT reaches up to about 90% – 100% of the maximum sustainable effort, SIT takes over after 100% of sustainable effort — more effort than could be continued over 30 seconds. Between the sprint intervals, resting time can either be active (light jogging or similar) or passive (just resting).Interval training intensity chart: Sprint, High-intensity, Aerobic, and Low-intensity levels.

SIT effort goes beyond what can be achieved from the respiratory system aerobically and moves into the anaerobic levels of exertion. The word aerobic comes from the Greek roots for air and life, and anaerobic means “without air.” In the first 30 seconds of effort, energy comes from stored energy in the muscles before oxygen respiration increases.

SIT examples:

  • Two 20s: Ten minutes of exercise time, consisting of two 30-second sprints spaced out over 10 minutes of light effort.
  • The Tabata Protocol: Published by Izumi Tabata in 1996, this protocol uses eight repetitions of 20 seconds maximal effort interspersed with 10 seconds of rest.

HIIT exercises include the Tabata Protocol as well. When Tabata designed the protocol that carries his name, his goal was to find one protocol that increased “both anaerobic capacity and maximal aerobic power.” As a result, the Tabata Protocol features both short sprint intervals (20 seconds) with enough overall effort to exercise aerobic capacity.

Maximizing Health Benefits Through High-Intensity Interval Training (HIIT)
High-intensity Interval Training (HIIT) involves exercises performed at peak energy levels supported by oxygen intake. Find out its benefits here.

Four Benefits from Sprint Interval Training

1. Improved Cardio-respiratory Fitness

SIT improves the body’s ability to convert oxygen into energy at a sustained pace. Despite being classified as an anaerobic (without oxygen) training, SIT enhances the efficiency of energy production, which helps for aerobic (with oxygen) exercises as well. After eight weeks of SIT (four 30-second sprints, 4 min rests) or HIIT (four 4-minute high intensity, 3 min active rest) three times a week, the HIIT group improved V̇O2 max (a measure of oxygen use) by about 15%, while the SIT group improved by 16%.1

2. Fat loss

While the calories expended during the SIT session may be less than other exercises due to the short duration, SIT increases total daily energy expenditure (TDEE), which burns more calories over the day. A test of 12 men (unclear if they were angry or not) showed that TDEE was increased by 10% after a single SIT session.2 This increased energy expenditure burns body fat, as shown in a seven-week SIT study, which reduced body fat by 7%.3

3. Time Efficient

A HIIT session takes less time than continuous aerobic exercise, and a SIT session is shorter still. A 2017 meta-analysis comparing the number of sprints done per session against V̇O2 max improvement showed that more than 2-3 sprints per session reduced the V̇O2 max gain.4 A two 30-second sprint workout takes about 10 minutes with 1 minute of all-out effort, compared with a 4×4 HIIT session, which takes 25 minutes and 4-8 minutes of high-intensity effort.

4. Increased Insulin Sensitivity

When the body is sensitive to the insulin hormone, it can readily absorb sugar from the blood into muscles and fat. If the body is insulin resistant, the body produces more insulin to try and lower blood sugar, which is a risk factor for diabetes. SIT helps control blood sugar by making the body more responsive to insulin.2

Sprint Interval Training vs. HIITClose-up-view-of-athletes-legs-in-motion-during-a-sprint-on-a-red-running-track-capturing-the-intensity-of-sprint-interval-training

HIIT shares these benefits, and many articles imply that they are two ways of improving the same thing. However, analysis of mitochondria (small energy-producing structures inside cells) shows SIT and HIIT have a completely different effects on energy production. This difference is caused by the sprinting requirement for fast energy before the body can increase oxygen flow.

In HIIT, the body adapts to the increased oxygen flow by increasing the mitochondria available to make energy. In SIT, when oxygenated blood flow can’t provide enough power, the body improves performance by tuning and enhancing the ability of the existing mitochondria. This tuning eliminates malfunctioning mitochondria (“mitophagy”) and improves other aspects of mitochondrial energy production, like remodeling the shape of the mitochondria for efficiency.5

How to do Sprint Interval Training

What are the good exercises for Sprint Interval Training?

The best exercise is the one you can do at an all-out intensity and that you like. Gym machines like treadmills or elliptic trainers may not increase speed fast enough for the 20-30 seconds times SIT requires. If running or bicycling, a mostly straight track with few obstacles or traffic is important. Fitness exercises like jumping rope, body squats, or burpees are also good choices, although making a full-out effort at these exercises can be challenging.

Should I Warm Up for Sprint Interval Training?

Going from the couch to a sprint can be taxing on the body. Most SIT protocols start with 5-10 minutes of low-intensity effort, like jogging or slow pedaling, to warm up the body first.

How much Sprint Interval Training should I do?

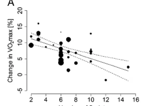
Three sessions per week of the two to three 30-second sprints, with 3 minutes rest between, are recommended for building sprint ability. Unlike HIIT benefits, which improve essentially linearly based on the total minutes of high-intensity exercise, SIT appears to provide maximum benefit with fewer minutes of all-out effort.Scatter plot depicting the effect of sprint interval training on VO2 max, showing data points and trend lines for various sprint counts

More than three sprints per session appears to reduce the benefits of SIT on cardio-respiratory fitness. A meta-study of SIT protocols found that three sprints per session increased V̇O2 max over 10%, but each sprint after three per session reduced the gains by nearly 1%.>4

Should breaks between sprints be active or passive?

An active recovery period is when jogging or slow pedaling is done between the sprints, whereas passive recovery means complete rest. In contrast with HIIT, it seems that passive recovery periods may lead to better performance. Active recovery reduces the peak power possible on the second sprint, and sprints are all about the power.6

Longevity Exercises: Crafting Your Routine for a Longer, Healthier Life
Discover longevity exercises and fitness routines like High-intensity Interval Training and Strength Training for longer, healthier life.

 

Frequently Asked Questions

How high should my heart rate go when sprinting?

Heart rate isn’t a good measure for Sprint Interval Training. Sprint intervals are usually 20-30 seconds, and that’s faster than the heart rate can respond. Instead of heart rate, pay attention to the perceived level of exertion. It should be pretty near maximum.

Does Sprint Interval Training increase longevity?

Unclear. While many studies show that having a higher V̇O2 max is beneficial for longevity, I could not find studies evaluating SIT effect on all-cause mortality. SIT is usually used to improve fitness as opposed to lengthening life. Hopefully, there will be more studies in the future.

Does Sprint Interval Training build muscle?*

Dog sprinting
This dog is building muscle by… Ok, it’s just my dog, but she’s cute sprinting!

Yes, but perhaps not enough to make a difference. A study of men and women found that over a 6-week study of three SIT sessions per week, they gained about 1% of lean mass. This result was statistically significant, although a group that did typical aerobic exercise over the period gained the same amount.7Exe

Is it healthy to do Sprint Interval Training every day?

No. Sprinting is an all-out effort, from which it takes time to recover and benefit. Typical SIT protocols use three sessions per week, a good guideline.

Subscribe to our newsletter

Get evidence-based health and longevity tips delivered to your inbox.

Unaging

Crissman Loomis

Research first! I’m a mathematician by training and a long-term body hacker who enjoys studying new topics and then testing them on myself. From a year of veganism to an intensive two-month muscle-building stint in which I gained 9 kg (20 lbs.) of muscle, I like reading and applying the latest studies. Google Scholar is my most frequented bookmark. I'm continually reviewing the latest research on health and longevity. I’ve found many valuable and several surprising things. Subscribe to join me on the journey!

Previous Article
a person walking on a grassy path with fallen leaves
  • Exercise

The Benefits of Walking For Longer Life

  • July 14, 2025
  • Crissman Loomis
View Post
Next Article
Aerobic Exercise and Longevity
  • Exercise

Aerobic Exercise For Longevity: Workouts For Living Longer

  • July 23, 2025
  • Crissman Loomis
View Post

You May Also Like

Exercise Pyramid 2025
View Post
  • Exercise

The Exercise Pyramid

  • Crissman Loomis
  • September 18, 2025
4-Hour Path Marathon
View Post
  • Exercise

Sub 4 Hour Marathon Pace: 16 Week Marathon Training Plan and Tips

  • Crissman Loomis
  • September 13, 2025
Woman Doing A Barbell Squat For A Strength Challenge Workout
View Post
  • Unaging Challenge
  • Exercise

Strength Challenge 2025: Final Results

  • Crissman Loomis
  • July 31, 2025
włodzimierz jaworski in a pole vault representing health and longevity
View Post
  • Exercise

Exercise and Longevity: Workout and Add Years to Life

  • Crissman Loomis
  • July 28, 2025
Aerobic Exercise and Longevity
View Post
  • Exercise

Aerobic Exercise For Longevity: Workouts For Living Longer

  • Crissman Loomis
  • July 23, 2025
a person walking on a grassy path with fallen leaves
View Post
  • Exercise

The Benefits of Walking For Longer Life

  • Crissman Loomis
  • July 14, 2025
woman in hijab performing strength training deadlift at gym
View Post
  • Exercise

6 Benefits of Strength Training for Longevity

  • Crissman Loomis
  • July 14, 2025
step masters
View Post
  • Exercise
  • Unaging Challenge

StepMaster Challenge: Walk 12,000 Steps And Live Longer

  • Crissman Loomis
  • July 14, 2025

Leave a Reply Cancel reply

Your email address will not be published. Required fields are marked *

ranking the most effective longevity habit
Is Running Overrated?
A sparkler
The Strongest Predictor of Heart Attack Isn’t a Cholesterol Test
The Hard Limit on Human Lifespan
nerd nite tokyo the longevity systems
The 3 Longevity Systems That Determine Your Healthspan and How to Protect Them
Girls running
Seven People Just Finished a Year-Long Health Transformation

Categories

  • Aging (6)
  • Diet (22)
  • Exercise (25)
  • Healthy Habits (21)
  • Podcasts (8)
  • Reviews (4)
  • Science (11)
  • Unaging Challenge (14)
  • Videos (11)

Live Longer, Live Better

Join the Unaging Challenge and get evidence-based longevity tips delivered to your inbox.

    Unaging Logo

    The latest research quantified into health and longevity

    Navigation

    • Unaging Challenge
    • Blog
      • Podcasts
      • Diet
      • Exercise
      • Healthy Habits
      • Science
      • Aging
      • Unaging Challenge
      • Reviews
      • Videos
    • Determine Your True Age
    • About Me
    • Contact

    Navigation

    • Home
    • Biological Age Calculator
    • Blog
    • About me
    • Contact us
    • Sitemap

    Categories

    • Aging
    • Diet
    • Exercise
    • Healthy Habits
    • Podcasts
    • Reviews
    • Science
    • Unaging Challenge
    • Videos

    Categories

    • Aging
    • Diet
    • Exercise
    • Healthy Habits
    • Podcasts
    • Reviews
    • Science
    • Unaging Challenge
    • Videos

    Input your search keywords and press Enter.

    Get longevity research in your inbox