Last updated: April 9, 2026

Longevity experts are clear that aerobic exercise is a key part of living a healthy, long life, but usually don’t say much beyond, “Exercise–do a lot of it.” Government guidelines suggest getting at least 150 minutes of moderate exercise or 75 minutes of vigorous exercise per week CDC-How much physical activity do adults need?1.

However, it was unclear what the basis for these numbers was from reading the studies. After researching the optimum consumption levels of ten different food types (whole grains, fruits, red meat, etc.), the government advises 150 minutes of moderate exercise or 75 minutes of vigorous exercise. It feels kind of cavalier, like saying, “eat food, especially planty things.”
Part of the challenge of determining the benefits of exercise is the many different exertion levels. Even within one sport, such as soccer, the effort levels vary significantly when playing an all-field position instead of the goalie.
Both moderate and vigorous exercise is aerobic exercise, in which lung capacity is key to overall performance. The threshold for aerobic exercise is when your breathing intensity increases–strenuous enough that you would have trouble singing but can still say short phrases. This is the kind of exercise you can continue for ten minutes or more because your body continuously converts the oxygen you breath and converts it into energy. An organelle inside the cell called mitochondria does this conversion. When the body can draw sufficient oxygen, the best way to increase energy is by increasing the number of mitochondria in the cells to process more oxygen more quickly. This would be like upgrading the motor from a four-cylinder engine to a 6 or 8 cylinder motor in a car. Regular exercise in this range can drive increased mitochondria to improve aerobic performance.


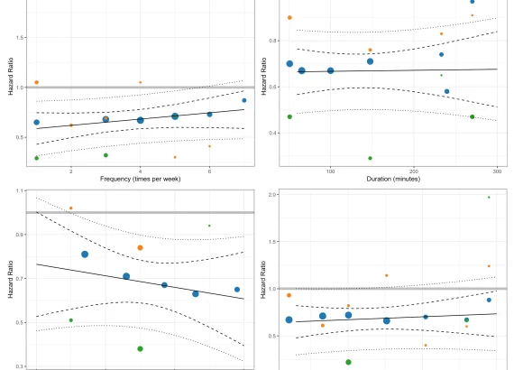
For many, the classic exercise is jogging or running. Correlational studies of people who jog or run show that the benefits are heavily front-loaded — jogging at least once a week for under half an hour seems to capture all of the longevity extending benefits of aerobic exercise Is running associated with a lower risk of all-cause, cardiovascular and cancer mortality, and is the more, the better? A systematic review and meta-analysis.2
Longer jogs or more frequent jogging, at least up to six hours a week, doesn’t appear to affect all-cause mortality either way, although there may be a benefit from faster jogging.
There can be other benefits from running, but for optimal longevity, run at least once a week for about half an hour to reduce all-cause mortality by about 30%.
A weekly jog isn’t everything, though. In the following posts, we’ll talk about high-intensity interval training!
FAQs
1. What is the recommended weekly exercise duration for promoting longevity?
The recommended weekly exercise duration for promoting longevity is at least 150 minutes of moderate exercise or 75 minutes of vigorous exercise, according to government guidelines. WHO Physical activity3
While these recommendations are clear on the importance of exercise for a healthy, long life, they might not provide specific scientific evidence or explanations for the basis of these numbers, leaving some questions about their precise reasoning.
2. Is there a difference between moderate and vigorous exercise in terms of health benefits?
Yes, there is a difference between moderate and vigorous exercise in terms of health benefits. Both forms are aerobic and improve lung capacity, but vigorous exercise involves higher breathing intensity, leading to more significant cardiovascular and aerobic gains. Vigorous exercise tends to increase the number of mitochondria in cells more rapidly, thereby enhancing overall aerobic performance and energy levels.
3. How does aerobic exercise improve overall performance and lung capacity?
Aerobic exercise increases oxygen consumption and engages mitochondria within cells to convert oxygen into energy. With regular exercise, the body increases the number of mitochondria, leading to improved aerobic performance and lung capacity.


4. What is the significance of mitochondria in aerobic exercise and longevity?
Mitochondria are organelles within cells responsible for converting oxygen into energy. Increasing the number of mitochondria through regular exercise enhances the body’s ability to process oxygen and boosts overall energy levels.
5. Does jogging or running have a significant impact on longevity?
Exercise and longevity are parallel to each other. Studies indicate that4 consistently jogging at least once a week for under half an hour provides the longevity-extending benefits of aerobic exercise. Jogging has been shown to reduce all-cause mortality by about 30%.
6. Is there an optimal frequency and duration for jogging to extend lifespan?
For optimal longevity benefits, jogging at least once a week for about half an hour can significantly reduce all-cause mortality.
7. Can longer or more frequent jogging provide additional benefits for overall health?
Studies suggest5 that longer or more frequent jogging, up to six hours a week, may not significantly affect all-cause mortality. However, faster jogging might offer additional benefits. It may be helpful to run more frequently to establish healthy exercise habits.









